MCAP_LAB3.jpg

Devices pass tests - then fail. We catch what tests miss.

powered by ✅ LockScore™

Reveal hidden failure — before it costs you yield.

For reliability and yield teams in advanced memory.

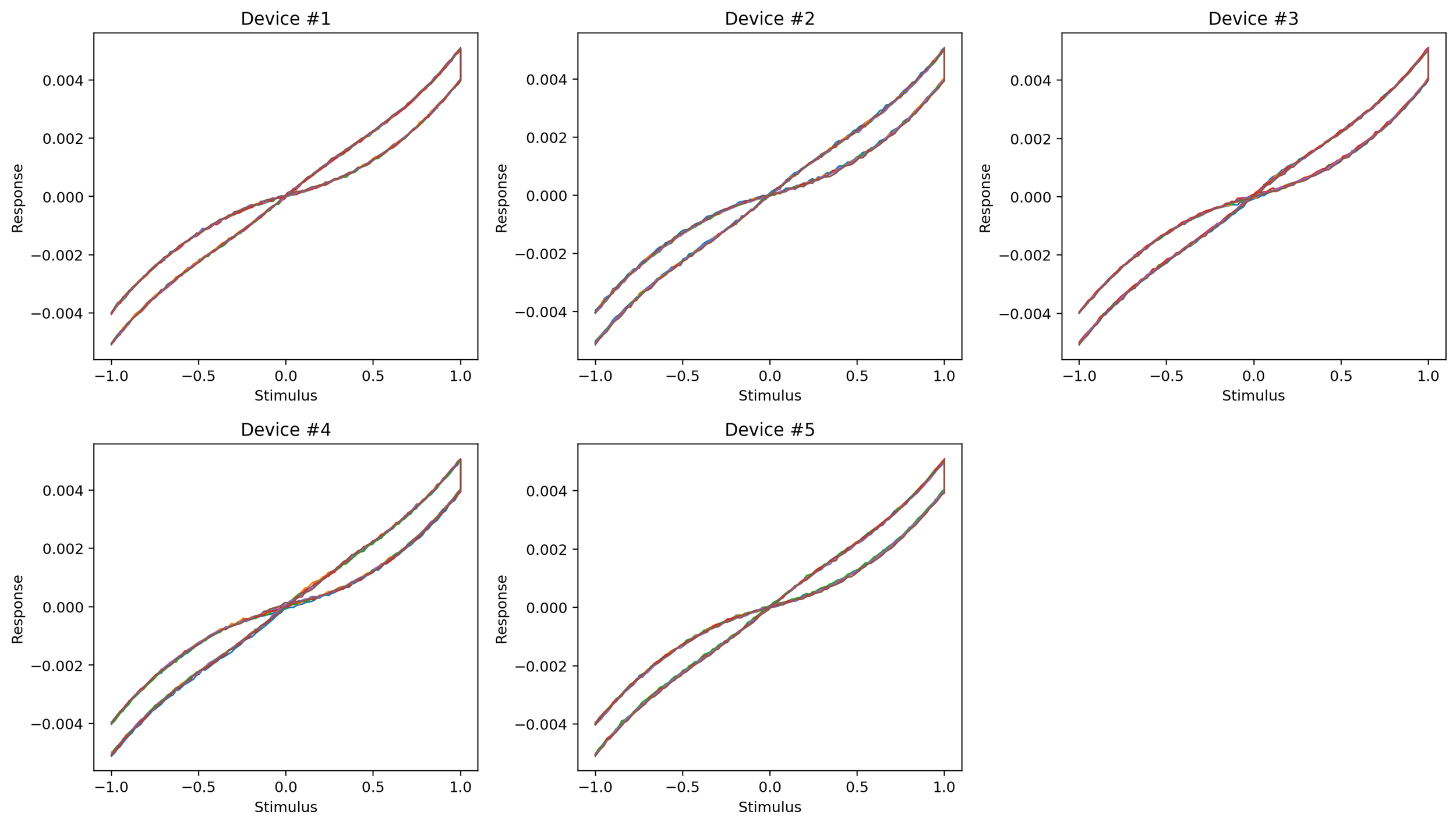
They look similar.

They are not.

Can you find the failure?

This is what you see but we see something very different.

Failure in 4 of these devices.


See how it works!

Run an Early Instability Scan on Your Devices

Early Instability Scan - We’ll identify devices instability — even when early sweeps still look normal.

1. Upload I–V sweep data (10–20 devices)

2. We analyze structural instability patterns

3. You receive GO / HOLD / NO-GO classifications in 48–72 hours

Devices that look identical early don’t always behave the same later.

Screenshot of a webpage titled 'All LockScore Devices' displaying a list of devices with columns for Device ID, LockScore, Status, Decision, Rank, Confidence, Mode, Evidence, Channel, Sweep/Reads, Note/Fit, Warning, Timestamp, and Run. The list shows various device statuses, decisions, confidence levels, and warnings.

Submit sample data → We analyze → You get results in 2–3 days

Even a 1% improvement in yield can translate to $5M–$20M annually per production line

Image of three spherical buttons with colored lights indicating lock status: red on the left, yellow in the middle, and green on the right. The text above reads: "LockScore" with a checkmark icon, and the quote "The signal you need before you scale."

What does ✅ LockScore™ detect that conventional reliability tools miss?

Traditional reliability workflows detect problems only after degradation appears through stress testing, burn-in, or failure analysis.

✅ LockScore reveals hidden structural instability earlier — giving engineering teams visibility into reliability risk before failure surfaces.

✅ LockScore™ Built for reliability and yield engineering teams working on advanced semiconductor devices.

A shiny, rounded square-shaped object with a reflective surface, placed on a plain white background.

✅ LockScore™

The score that matters

Even small gains in yield or faster scrap decisions unlock millions of dollars annually in recovered value.

Reveal hidden device failure risk before costly burn-in and field issues

Even a 0.5–2% yield improvement or earlier scrap decision can translate huge difference in cost savings.

A sleek, modern, spherical device with a metallic silver exterior and a black glossy top, placed on a white surface with a white background.

"We ran 15 devices through our standard qualification flow — all passed. LockScore flagged 2 of them. LockScore gives us a new way to measure instability."

— Reliability Engineer, Tier-1 Power Semiconductor Manufacturer